使用滾珠軸承時,沒有單獨使用的,一定是裝自己到軸上或嵌入機殼上使用。 所謂配合,是指軸與內圈、機殼與外圈之間的裝配、嵌合的松緊程度。 可分為間隙、過盈和過渡配合。
作為配合的對象,要以防止蠕變為目的,一旦發生蠕變,會因滑動磨損產生異常發熱,或者因磨損產生的碎屑迸入軸承造成燒蝕或引起使用壽命的縮短。雖然配合的過盈量大了能基本防止蠕變的產生,但在選擇過盈量時必須注意徑向游隙的減少量(負游隙)、軸承運行時的溫度分布(溫度變化時的過盈量變化)、變化(對軌道圓度的影響)等。
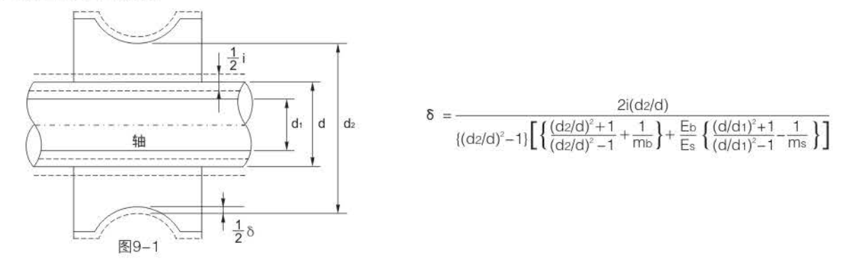
將軸承壓入軸或機殼時,徑向游隙如何變化?可按如下方法進行計算:
軸與內圈的壓入嵌合

根據上式, 在以過盈量i壓入時,內圈的槽徑增大δ, 因此徑向游隙減少δ。
其中: d:內圈內徑
d1:軸的內徑(實心軸時?。?br />
d2:內圈槽徑
i:過盈量
Eb:內圈的楊氏模量
Es:軸的楊氏模量
mb:內圈的泊松系數
ms:軸的泊松系數
外圈與機殼的壓入嵌合

根據上式,機殼與外圈以過盈量工作壓入嵌合時 , 徑向游隙減少△。
D1: 外圈槽徑
D: 外圈外殼
D2: 機殼外徑
i: 過盈量
Eh: 機殼的楊氏模最
mh: 機殼的泊松系數
常用配合
常用配合的孔尺寸允許偏差 (單位:µm)

常用配合的軸尺寸允許偏差 (單位:µm)

軸承(圓柱形孔)的配合
徑向軸承的內圈( 1 )的配合

徑向軸承的內圈(3)的配合

相關鏈接:微型軸承